ShakeMap

Time: Thu October 9, 2025 00:56:58 (UTC)
|
Depth: 44.99 km
|
Event ID: 62191312
|
Location: 47.568, -123.299

Instrument Intensity

Regional

Download: JPG | PDF

Peak Ground Acceleration

Regional

Download: JPG | PDF

Peak Ground Velocity

Regional

Download: JPG | PDF

Uncertainty

Regional

Download: JPG | PDF

Downloads

Regional
Intensity JPG | PDF
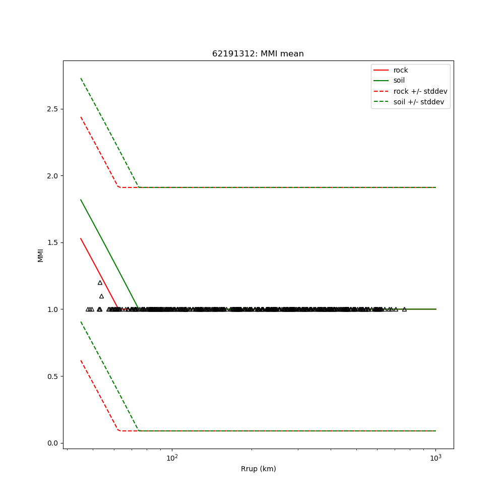
Intensity Regression PNG
Uncertainty JPG | PDF
Acceleration JPG | PDF
PGA Regression PNG
Velocity JPG | PDF
PGV Regression PNG
Spectral 0.3 JPG | PDF
PSA 0.3 Regression PNG
PSA 0.3 Uncertainty JPG | PDF
Spectral 1.0 JPG | PDF
PSA 1.0 Regression PNG
PSA 1.0 Uncertainty JPG | PDF
Spectral 3.0 JPG | PDF
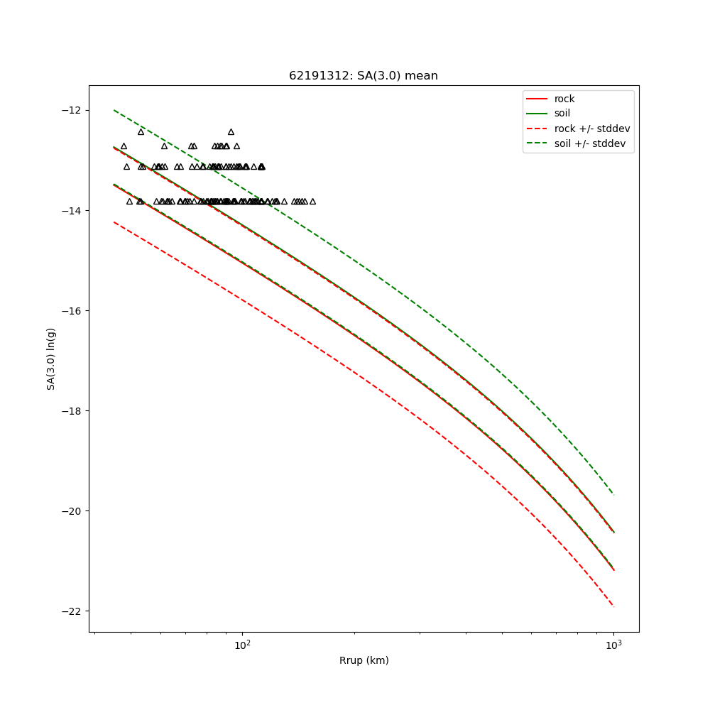
PSA 3.0 Regression PNG
PSA 3.0 Uncertainty JPG | PDF
Grid XML
Gis ZIP
Station JSON
Info JSON